• Предмет: Математика
  • Автор: bogdankuznecov964
  • Вопрос задан 3 года назад

15 балов!!!!!!!!!!!!!!!!!!!!!!!!!

Приложения:

Ответы

Ответ дал: parus77
1

Ответ:

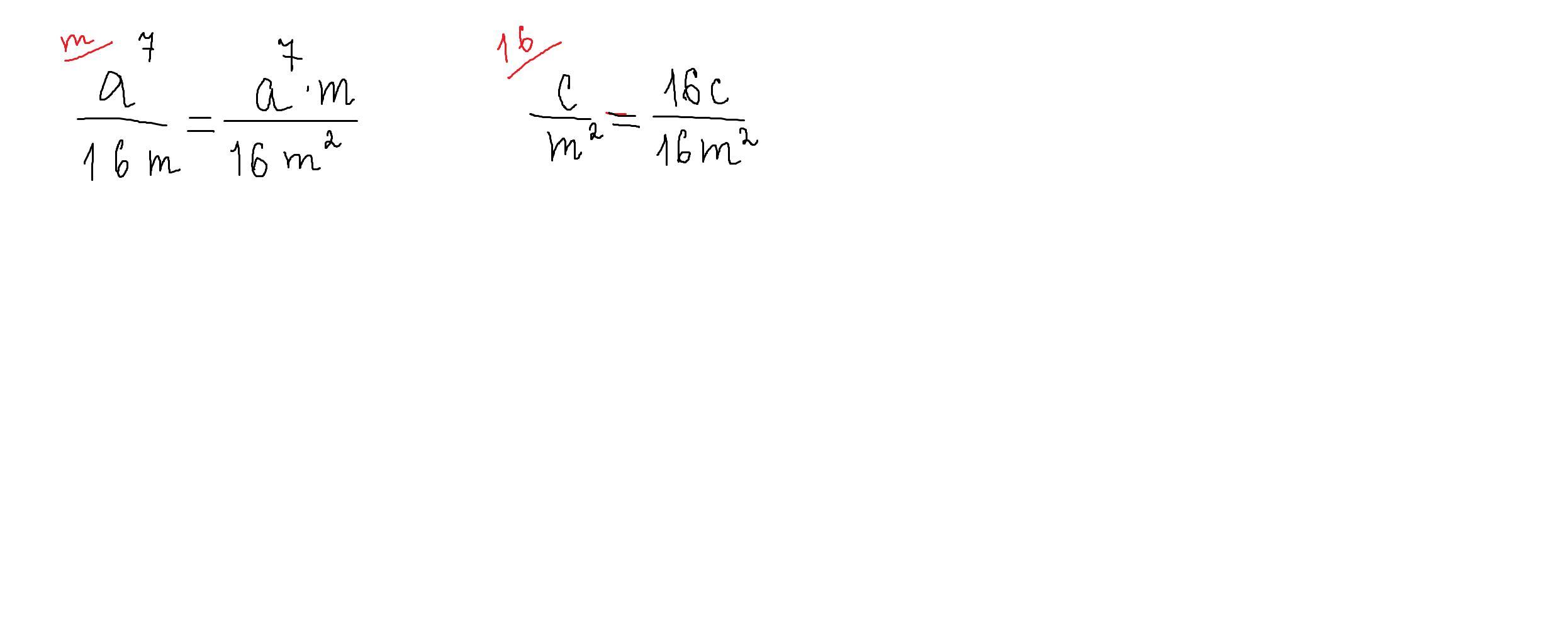
Пошаговое объяснение:

решение смотри внизу

Приложения:
Вас заинтересует