• Предмет: Алгебра
  • Автор: icelollipopkg
  • Вопрос задан 3 года назад

Пожалуйста помогите!!!!! Надо срочно!

Приложения:

Ответы

Ответ дал: parus77
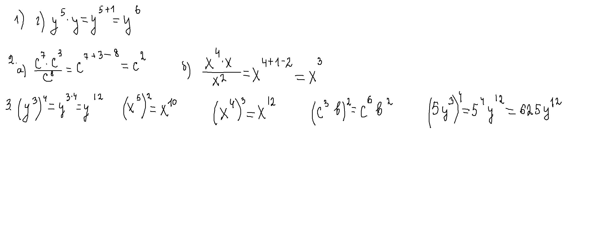
1

Ответ:

Объяснение:

решение смотри внизу

Приложения:
Ответ дал: wiolettabykova20045
1

Ответ:

В первом задании неверное- Г (там будет y^6)

Приложения:
Вас заинтересует