• Предмет: Алгебра
  • Автор: chakyrtuana
  • Вопрос задан 3 года назад

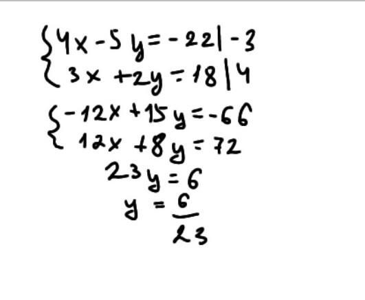
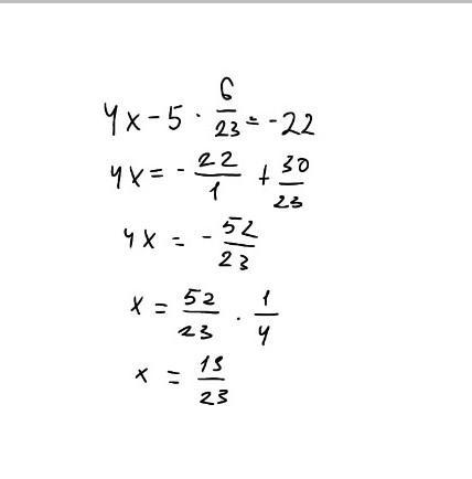
{4х-5у=-22
{3х+2у=18
решить систему методом сложения​

Ответы

Ответ дал: tikitoki30
0

Ответ:

Как-то так. Думаю, что правильно.

Объяснение:

‍♀️

Приложения:
Вас заинтересует