• Предмет: Физика
  • Автор: osnice1996
  • Вопрос задан 11 лет назад

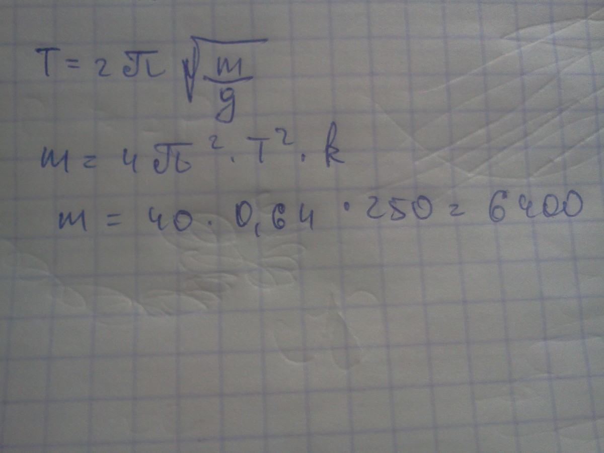
Решить задачу. Определите массу груза, который на пружине жесткостью 250Н/м совершает 40 колебаний за 32 секунды.

Ответы

Ответ дал: judu
0

решение прикреплено в файле

 

Приложения:
Вас заинтересует