• Предмет: Алгебра
  • Автор: Cotetv2
  • Вопрос задан 3 года назад

Пожалуйста помогите, даю 50 баллов, плиииз.
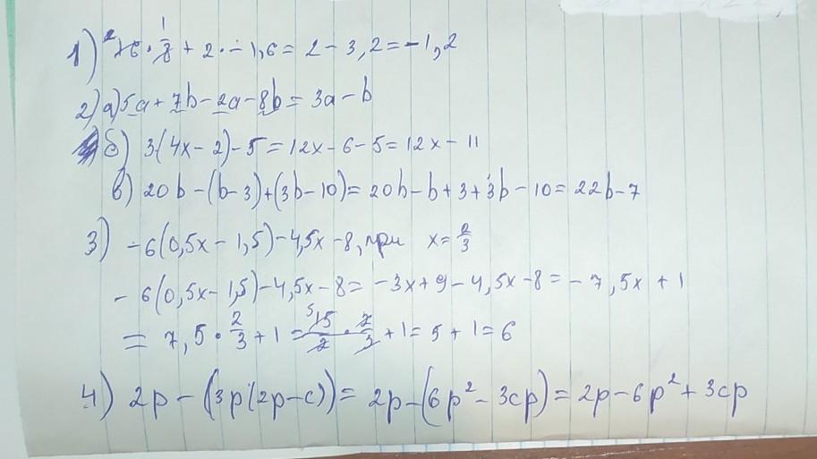
1. Найдите значение выражения: 16а+2у при "а" = 1/8,у = -1,6
2.упрастите выражение: 5а+7б-2а-8б; б) 3(4х-2)-5; в)20б-(б-3)+(3б-10)
3. упрастите выражение и найдите значение: -6(0,5х-1,5)-4,5х-8 при "х"= 2/3;
4. Раскройте скобки: 2р-(3р-(2р-с))
ЗАРАНЕЕ СПАСИБО! ✨

Ответы

Ответ дал: Outsider02
1

Ответ:

Можно увидеть все решения и ответы на прикрепленном файле (фото)

Приложения:
Ответ дал: artursotnikov07
0

Ответ:

4/7

Объяснение:

я хз


Outsider02: Крутой ответ
Вас заинтересует