помогите, пожалуйста! желательно с подробным решением, чтобы было понятно, как именно решаются подобные задания
Приложения:

Simba2017:
это кавдратные уравнения
Ответы
Ответ дал:
1
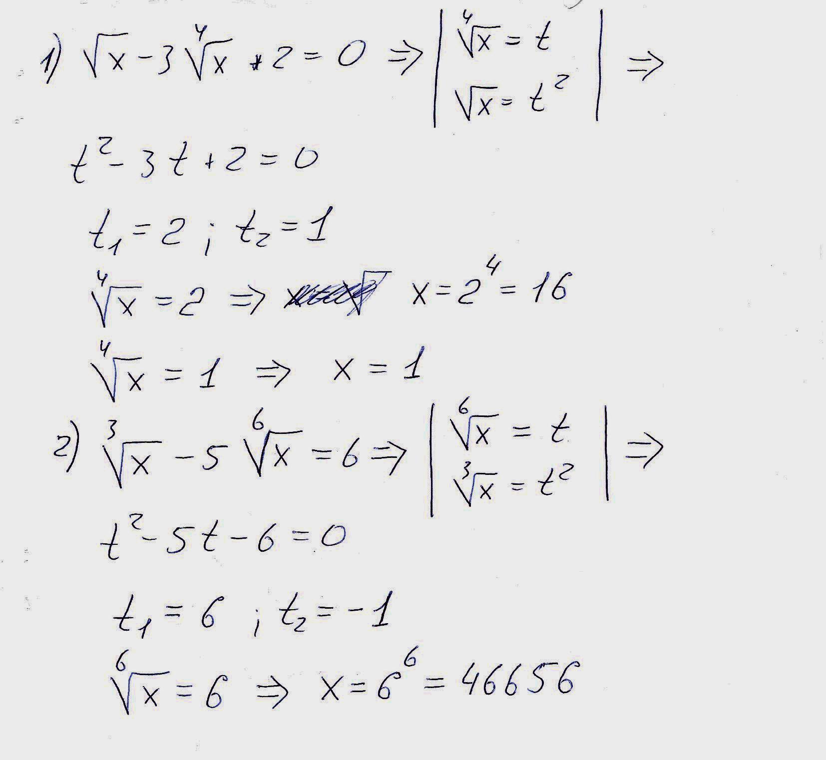
Ответ:
Пошаговое объяснение:
во вложении
Приложения:

Вас заинтересует
2 года назад
7 лет назад
7 лет назад
9 лет назад