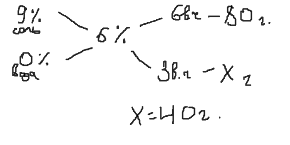
в 80г раствора содержится 9% соли. Сколько граммов воды следует налить в этот раствор, чтобы в нём было 6% соли?
Ответы
Ответ дал:
0
решается через правило креста, если конечно проходили такое.
Приложения:

Вас заинтересует
2 года назад
2 года назад
8 лет назад
8 лет назад
10 лет назад
10 лет назад