• Предмет: Алгебра
  • Автор: elsarhanovahadiza
  • Вопрос задан 3 года назад

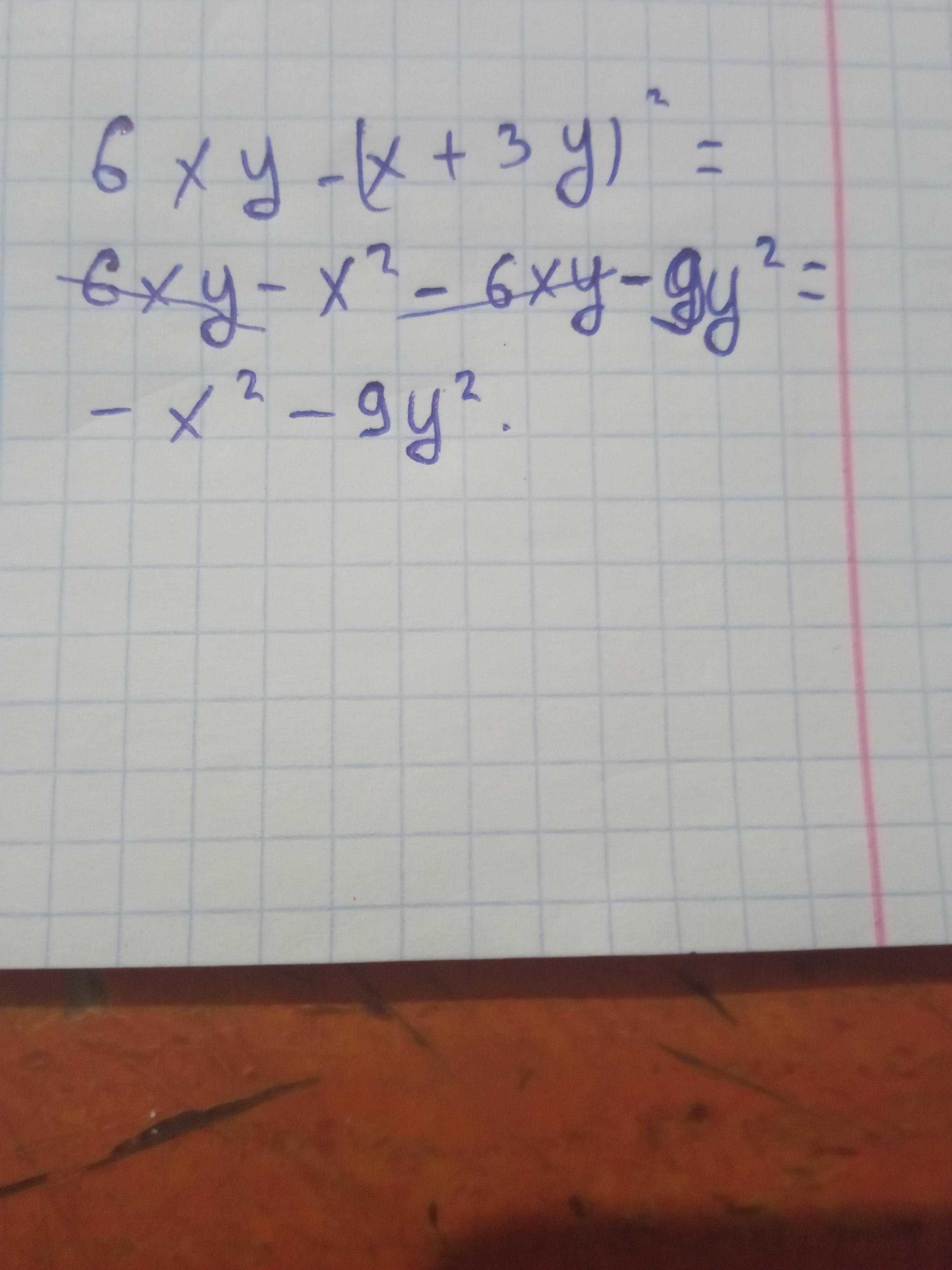
6ху-(х+3у)²=?
упростить выражение

Ответы

Ответ дал: linaserik23
1

Ответ:

Объяснение:

.....

Приложения:
Ответ дал: daniuuu
1

6xy-(x+3y)^{2}=6xy-(x^{2} +6xy+9y^{2} )=6xy-x^{2} -6xy-9y^{2} =-x^{2} -9y^{2}

Вас заинтересует