Ответы
Ответ дал:
2
Ответ:
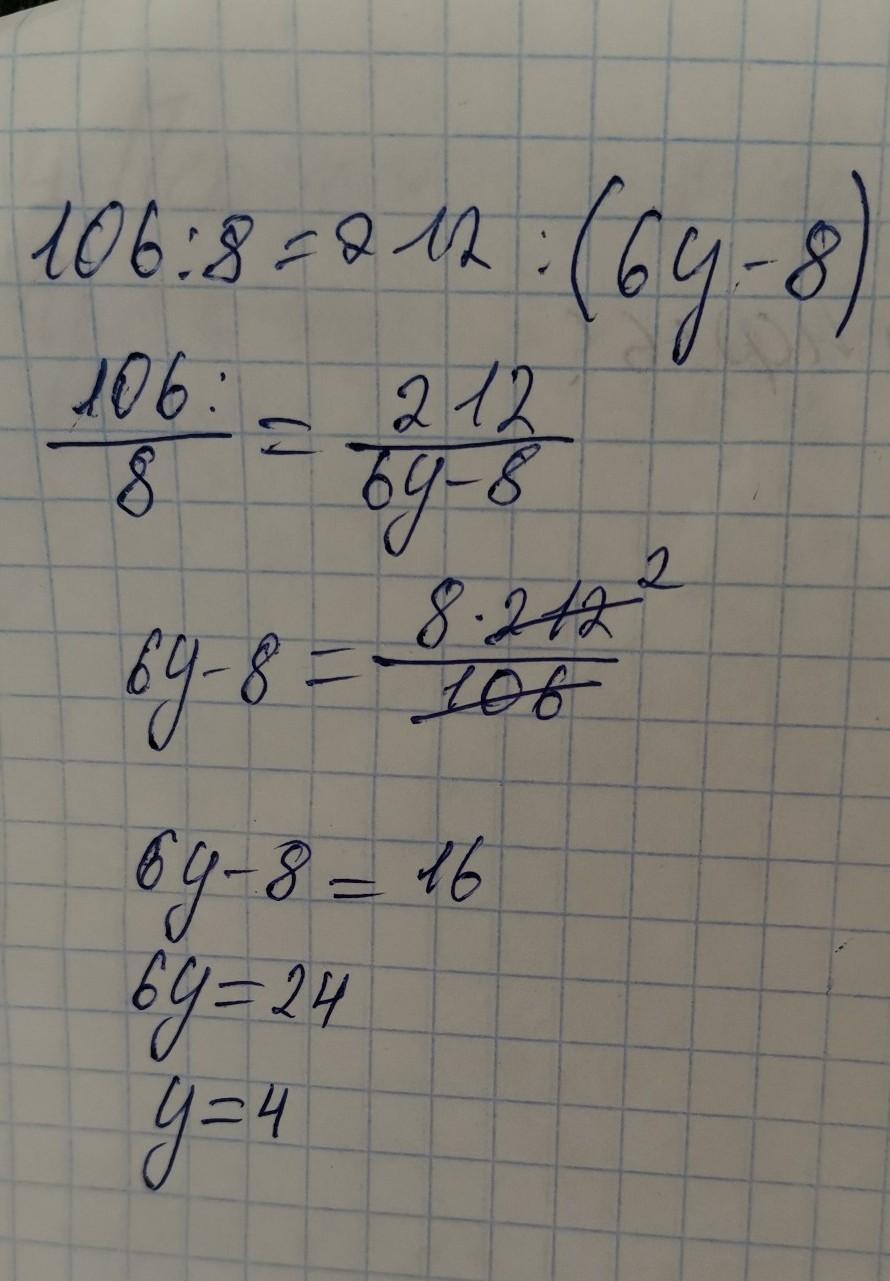
106:8=212:(6у-8)
У=8
Приложения:

Вас заинтересует
2 года назад
2 года назад
7 лет назад
9 лет назад