• Предмет: Алгебра
  • Автор: LoveMopsik
  • Вопрос задан 3 года назад

Даю 40 баллов за полный ответ (с полным объяснением)

Приложения:

Ответы

Ответ дал: lizapanzova2005
1

Ответ:

-31

Объяснение:

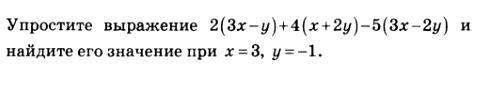
2(3x-y)+4(x+2y)-5(3x-2y) = 6x-2y+4x+8y-15x+10y = -5x+16y

-5*3 + 16*(-1) = -15-16 = -31


LoveMopsik: Спасибо Вам Огромное!)
lizapanzova2005: Не за что))
Ответ дал: pkomil
2

Ответ:

2(3x-y)+4(x+2y)-5(3x-2y)

1)Раскрываем скобки

6x-2y+4x+8y-15x+10y

2)Делаем иксы и игрики отдельно, чтобы удобно было решать и не делать ошибки

6x+4x-15x=-5x

-2y+8y+10y=16y

3)Ответ: 16y-5x


LoveMopsik: У вас точно правильно? Потому что это вопрос из контрольной работы и мне нужны точные вычисленияЮ
pkomil: да
pkomil: поставьте индексы и выйдет ответ
Вас заинтересует