• Предмет: Математика
  • Автор: Аноним
  • Вопрос задан 3 года назад

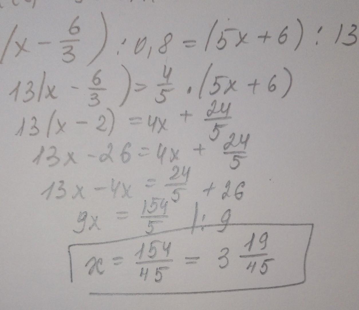
(х-6/3) : 0,8 = (5х + 6) : 13

Решите пожалуйста!
Нужно сроочноо...


xacku2020: (х-6/3) это как?
xacku2020: 6\3=2 так? ????

Ответы

Ответ дал: floramereseva
1

Ответ:

Ответ х=159/45=3 19/45

Приложения:

Аноним: Спасибо ООО большое
floramereseva: пожалуйста
Вас заинтересует