Ответы
Ответ дал:
0
Ответ:
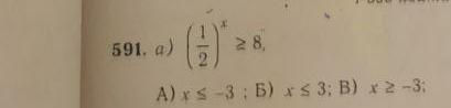
-х≥-3
Пошаговое объяснение:
1. предоставить в виде степени
2. сравнить степени
3. изменить знаки
уже не помню как все расписывать,но ответ будет точно такой
Приложения:

Вас заинтересует
2 года назад
2 года назад
2 года назад
7 лет назад
9 лет назад