Срочно помогите!! Срочно! Срочно!!!
Приложения:

Glanik34:
я не могу отправить решение
Ответы
Ответ дал:
0
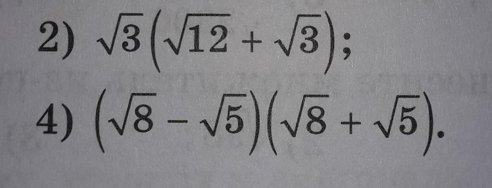
Ответ: 2)Корень из 36+корень из 9=6+3=9
4)8+корень из 40-корень из 40-5=8-5=4.
Объяснение: когда умножаешь корень из числа на корень из числа мы умножаем подкоренные выражения и записываем произведение под корнем, потом, если возможно, извлекаем сам корень. Когда умножаешь корень из числа на корень из такого же числа, то ответ прост - это то же число, только без корня. Тоесть корень из 8 умножить на корень из 8 = 8.
Вас заинтересует
2 года назад
2 года назад
2 года назад
7 лет назад
9 лет назад