• Предмет: Алгебра
  • Автор: grecihindanil9
  • Вопрос задан 3 года назад

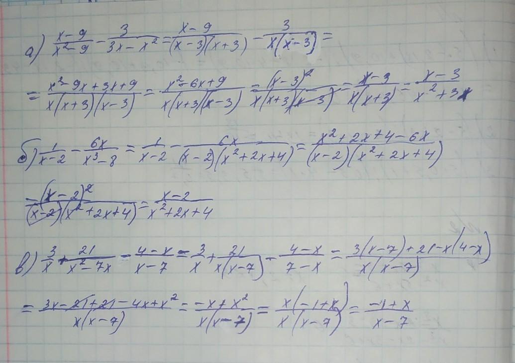
Упростите выражения пожалуйс а, сроч нужно

Приложения:

Ответы

Ответ дал: Outsider02
1

⬆⬆⬆⬆⬆⬆⬆⬆⬆⬆⬆⬆⬆⬆⬆⬆⬆⬆⬆⬆⬆

Приложения:

grecihindanil9: Спасибо огромное, от души
Outsider02: пожалуйста)
Вас заинтересует