Помогите пожалуйста, если поможете поставлю сердечко и лучший ответ.
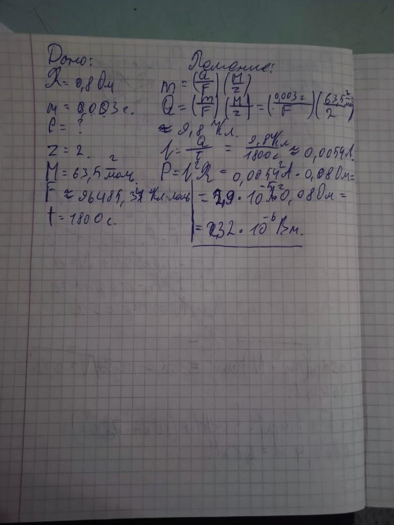
В электролитической ванне за 30 мин выделилось 3 г меди. Сопротивление раствора между электродами 0,8 Ом. Определите мощность электролитической установки.
Ответы
Ответ дал:
2
Вт, а не
Вт. Это я там случайно написал. А так решение правильное должно быть.
Приложения:

Вас заинтересует
2 года назад
2 года назад
2 года назад
7 лет назад
7 лет назад
9 лет назад