Окислительно-восстановительные реакции. оптеделить где прроцес окисления, где востановления, где окислитель, где востановитель.
1. MnO2+HCl=MnCl2+Cl2+H2O
2. Na3[Cr(OH)6]+NaOH+Br2=Na2CrO4+NaBr+H2O
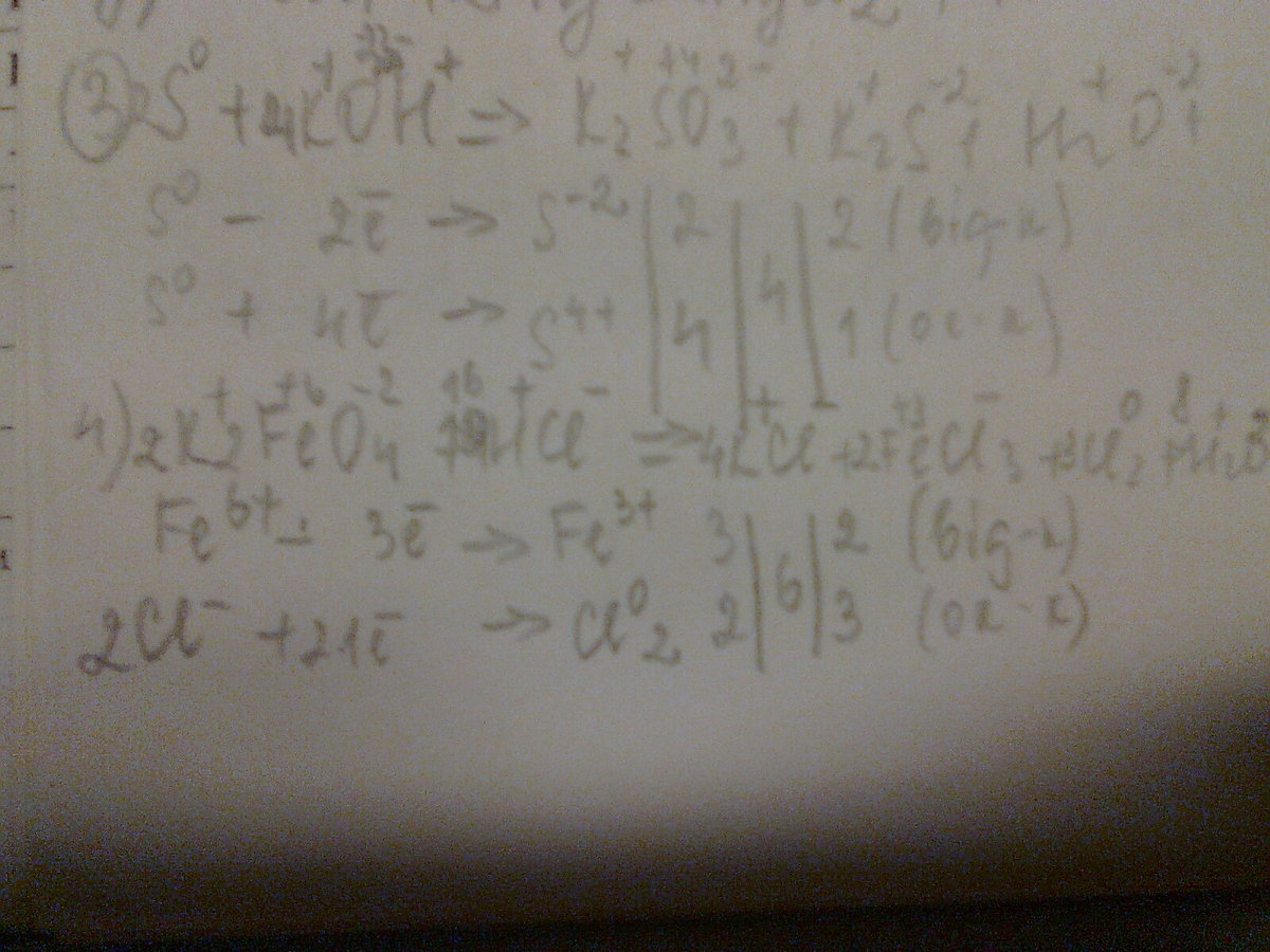
3. S+ KOH=K2SO3+K2S+H2O
4. K2FeO4+HCl=KCl+FeCl3+Cl2+H2O
Ответы
Ответ дал:
0
1. MnO2+4HCl=MnCl2+Cl2+2H2O
1. Mn⁺⁴O2⁻²+4H⁺Cl⁻ =Mn⁺²Cl2⁻+Cl2°+2H2⁺O⁻²
Mn⁺⁴ +2e = Mn⁺² 2l l1(ок-к)
l 2 l
Cl⁻ -- 2e =Cl°2 2l l 1(від-к)
1. Mn⁺⁴O2⁻²+4H⁺Cl⁻ =Mn⁺²Cl2⁻+Cl2°+2H2⁺O⁻²
Mn⁺⁴ +2e = Mn⁺² 2l l1(ок-к)
l 2 l
Cl⁻ -- 2e =Cl°2 2l l 1(від-к)
Приложения:

Ответ дал:
0
спасибо!! а остальные можеш??
Ответ дал:
0
зараз ..я напишу на листку і сфотографую
Вас заинтересует
2 года назад
2 года назад
8 лет назад
8 лет назад
10 лет назад
10 лет назад
10 лет назад