• Предмет: Физика
  • Автор: klassnyobmanshik
  • Вопрос задан 3 года назад

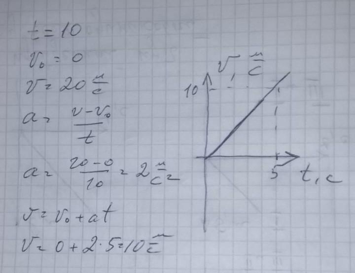
Автомобиль за 5с разогнался с места до скорости 15 м/с, двигаясь прямолинейно равноускоренно. а) С каким ускорением двигался автомобиль? б) Постройте график зависимости модуля скорости автомобиля от времени. в) Какой путь прошёл автомобиль за время, в течение которого его скорость увеличилась от 10 м/с до 20 м/с?

Ответы

Ответ дал: revole4ka
0

Ответ:

V=10м/с

Объяснение:

..................

Приложения:
Вас заинтересует