• Предмет: Алгебра
  • Автор: alternativ3z3ld0flma
  • Вопрос задан 3 года назад

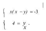
Решите систему уравнений:

Приложения:

sangers1959: 4=y/x?
alternativ3z3ld0flma: Да думаю

Ответы

Ответ дал: ahfwhfhwud
0

Ответ:

y3-x3=12x3y

Объяснение:

Ответ дал: sangers1959
1

Объяснение:

\left \{ {{x*(x-y)=-3} \atop {4=\frac{y}{x} }} \right. \ \ \ \ \left \{ {{x*(x-4x)=-3} \atop {y=4x}} \right. \ \ \ \ \left \{ {{x*(-3x)=-3} \atop {y=4x}} \right. \ \ \ \ \left \{ {{-3x^2=-3\ |:(-3)} \atop {y=4x}} \right.\ \ \ \ \left \{ {{x^2=1} \atop {y=4x}} \right. \\ x_1=-1\ \ \ \ y_1=-4\\x_2=1\ \ \ \ \ \ y_2=4.

Ответ: (-1;-4), (1;4).

Вас заинтересует