• Предмет: Математика
  • Автор: pogrebnakulia16
  • Вопрос задан 3 года назад

помогите пожалуйста ​

Приложения:

Ответы

Ответ дал: elyatkditf
0

Ответ:

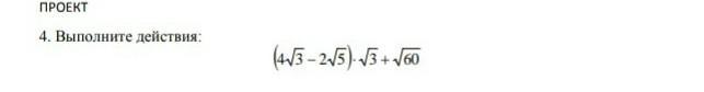
12 - 2\sqrt{15} +\sqrt{60} = 12 - \sqrt{4*15} + \sqrt{60} = 12

Пошаговое объяснение:

Вас заинтересует