• Предмет: Алгебра
  • Автор: Аноним
  • Вопрос задан 3 года назад

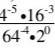
алгебра помогите пожайлуста ​

Приложения:

Ответы

Ответ дал: wwwfedorsolovev96
1

⭐отметьте пожалуйста лучшим ⭐

Приложения:
Вас заинтересует