• Предмет: Алгебра
  • Автор: Ostapgontar2018
  • Вопрос задан 3 года назад

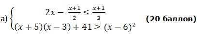
СРОЧНО 50 БАЛЛОВ
АЛГБЕРА

Приложения:

UMANAEVA: эх если бы я згала алгебру

Ответы

Ответ дал: dianazver975
2

Объяснение:

їрш'пєлаєоаєоажоажржжг

Приложения:
Вас заинтересует