• Предмет: Алгебра
  • Автор: Raspberry483
  • Вопрос задан 10 лет назад

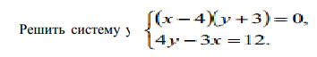
помогите решить систему уравнений

Приложения:

Ответы

Ответ дал: strugov
0
1). (x - 4)=0                                         2). (y+3)=0
      x=4                                                     y=-3

4y - 12 = 12                                              -12 -3x = 12
4y = 24                                                          -3x = 24
 y = 6                                                               x = -8
(4; 6)                                                           (-8; -3)
Итак, имеем два решения системы уравнений.
Вас заинтересует