• Предмет: Геометрия
  • Автор: sultaev965
  • Вопрос задан 3 года назад

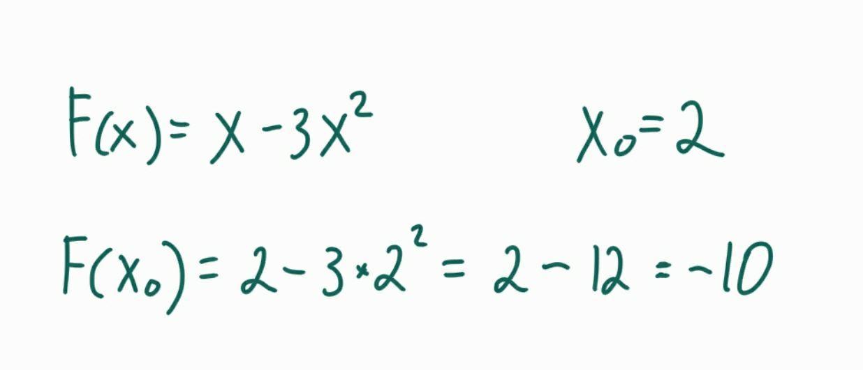
f(x)=x-3x степени 2,Xo=2


dnepr1: А в чём задание состоит??? Для чего дана точка хо?

Ответы

Ответ дал: Siriana
1

Ответ:

-10

Объяснение:

Фото

Приложения:
Вас заинтересует