Ответы
Ответ дал:
0
Ответ:
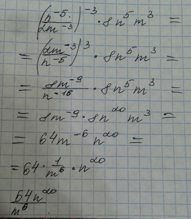
Упростить выражение
Объяснение в фото.
Приложения:

anjelamanova:
сделай ответ лучшим пж
Вас заинтересует
2 года назад
2 года назад
2 года назад
9 лет назад