• Предмет: Алгебра
  • Автор: Yudil
  • Вопрос задан 3 года назад

Друзья, пожалуйста очень срочно надо!!!
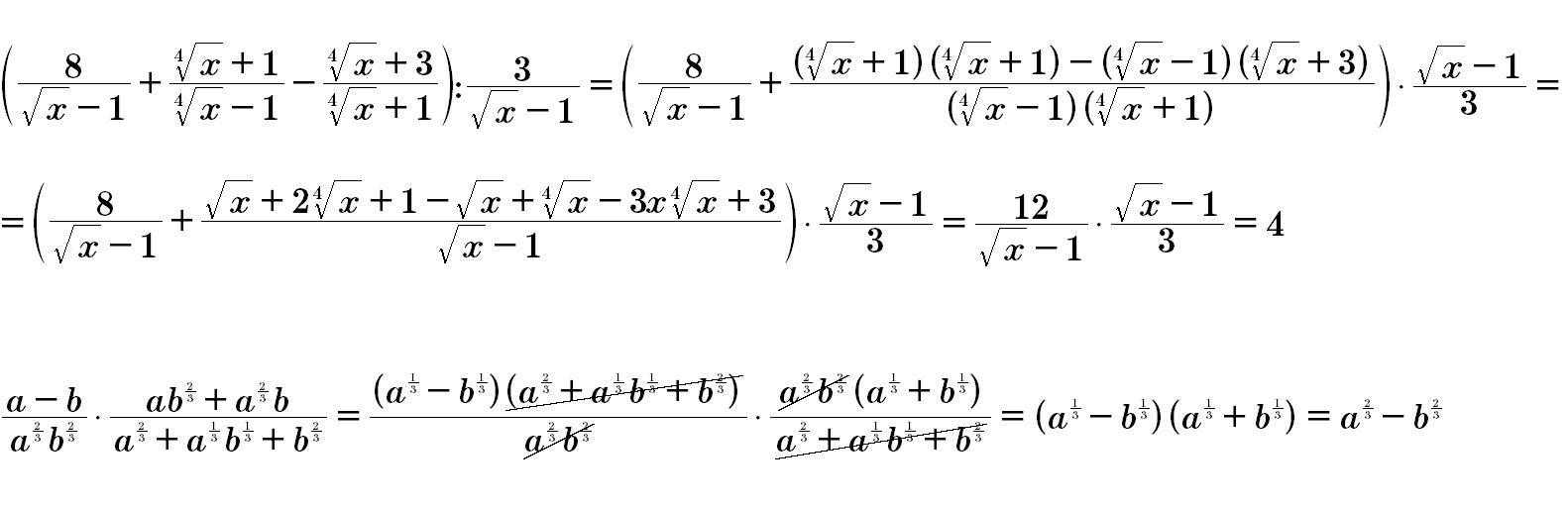
Упростите выражение:

Приложения:

glavnimozg28: это я не знаю

Ответы

Ответ дал: tamarabernukho
2

Ответ:

Объяснение:

.........................................................

Приложения:

Yudil: Спасибо!
Вас заинтересует