Ответы
Ответ дал:
0
Ответ:
Пошаговое объяснение:
Ответ дал:
0
Ответ:
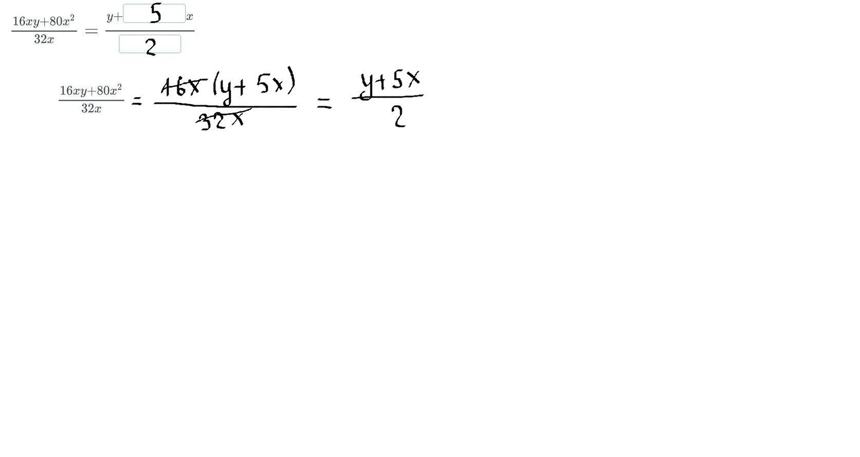
Привет)
Решение во вложении, будут вопросы, задавай)
Если не сложно, отметь пожалуйста как лучший ответ))
Пошаговое объяснение:
Приложения:

Вас заинтересует
2 года назад
2 года назад
2 года назад
7 лет назад
9 лет назад