• Предмет: Математика
  • Автор: sakharovatatyana06
  • Вопрос задан 3 года назад

срочнооо помогите решить аоаоаоа

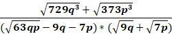
Приложения:

Ответы

Ответ дал: irakon63
0

Ответ:

-1  

Пошаговое объяснение:

в знаменателе формула суммы кубов

-\frac{\sqrt{3^{6}q^{3} }+\sqrt{7^{3} p^{3} } }{\sqrt{9^{3}q^{3}  }+ \sqrt{7^{3}p^{3}  } } =\\\\-\frac{\sqrt{3^{6}q^{3} }+\sqrt{7^{3} p^{3} } }{\sqrt{3^{6}q^{3}  }+ \sqrt{7^{3}p^{3}  } } =-1 и там опечатка вместо 373 стоит число 343

Вас заинтересует