• Предмет: Алгебра
  • Автор: keru28
  • Вопрос задан 3 года назад

8 класс с решением очень срочно​

Приложения:

Ответы

Ответ дал: dasho1k
0

Ответ:

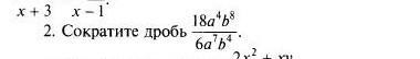
 \frac{3 {b}^{4} }{ {a}^{3} }

Ответ дал: vikalantinova
1

Ответ:

3b^4 / a^3

Объяснение:

18a^4 b^8 / 6a^7 b^4 = 3a^4 b^8 / a^7 b^4 = 3a^4 b^4 / a^7 = 3b^4 / a^3

Вас заинтересует