Помогите с задачами
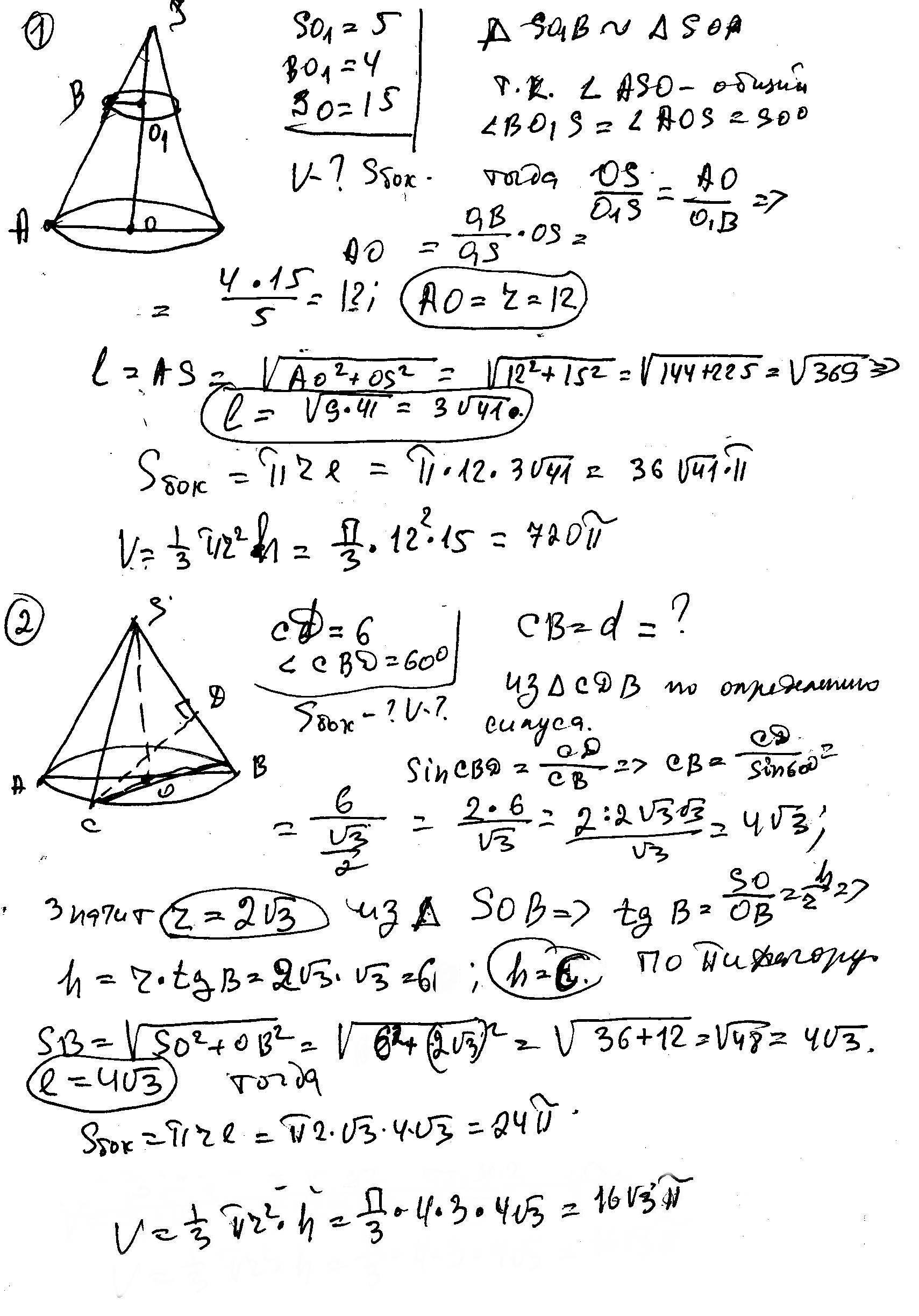
SO - высота конуса. Найдите объем и площадь боковой поверхности конуса.
Две задачи (рис. во вложениях)
Приложения:


Ответы
Ответ дал:
0
SO - высота конуса. Найдите объем и площадь боковой поверхности конуса.
Две задачи (рис. во вложениях)
Две задачи (рис. во вложениях)
Приложения:

Вас заинтересует
2 года назад
2 года назад
8 лет назад
8 лет назад
10 лет назад
10 лет назад
10 лет назад
10 лет назад