• Предмет: Алгебра
  • Автор: alisa10potter
  • Вопрос задан 3 года назад

Эксперты по алгебре!Помогите решить времени нет.....Задания во вложенной фотке.

Приложения:

Ответы

Ответ дал: NiNic356
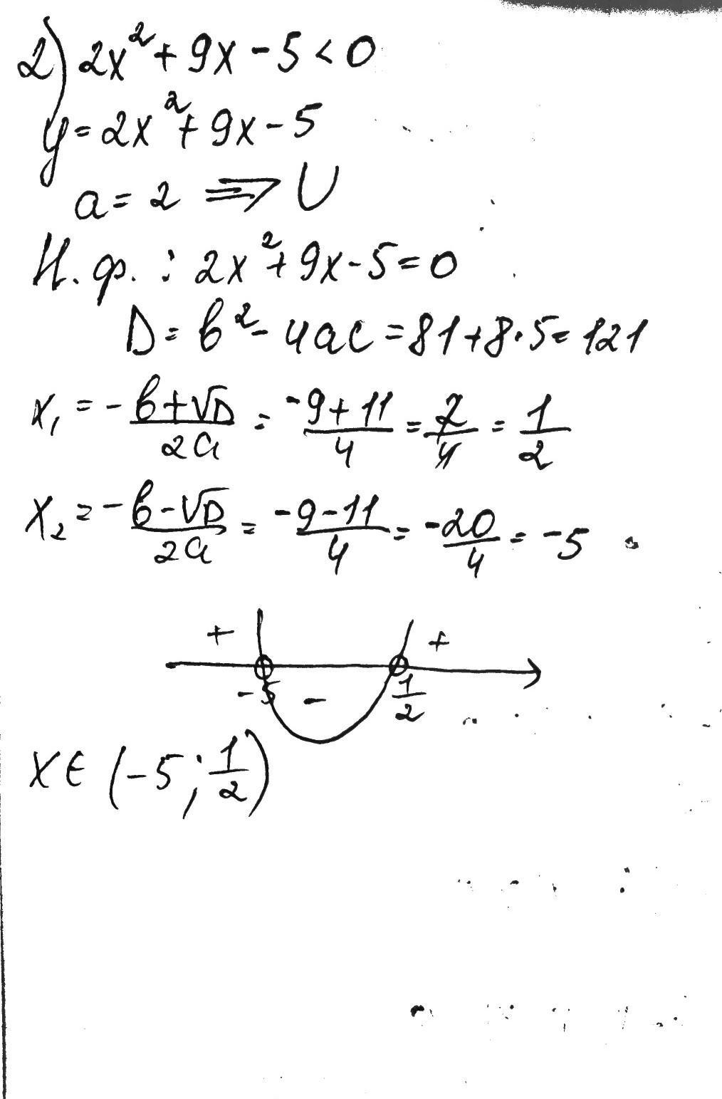
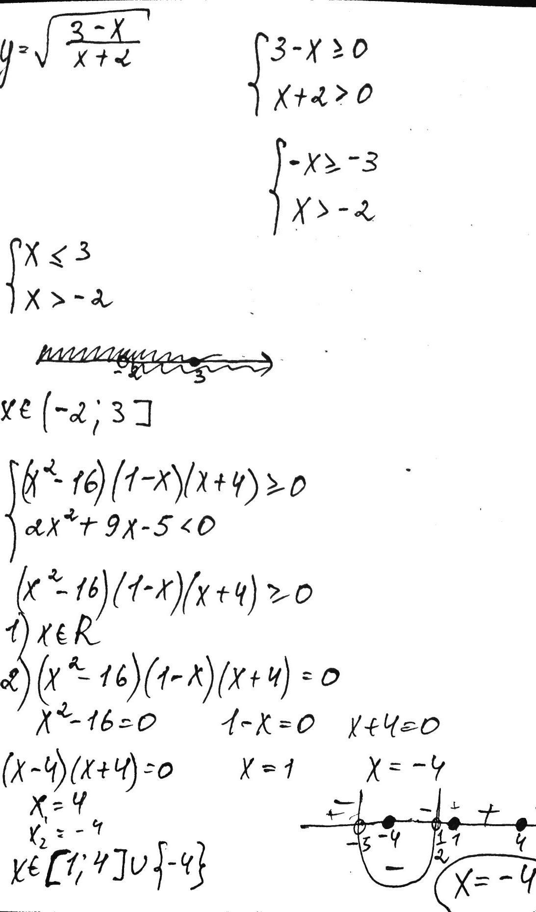
2

Ответ:

(-2;3]

х= -4

Объяснение:

)))))))))))))))))))))))

Приложения:

alisa10potter: спасибо большущее!
Вас заинтересует