• Предмет: Алгебра
  • Автор: ulakisula801
  • Вопрос задан 3 года назад

помогите пожалуйста ​

Приложения:

Ответы

Ответ дал: parus77
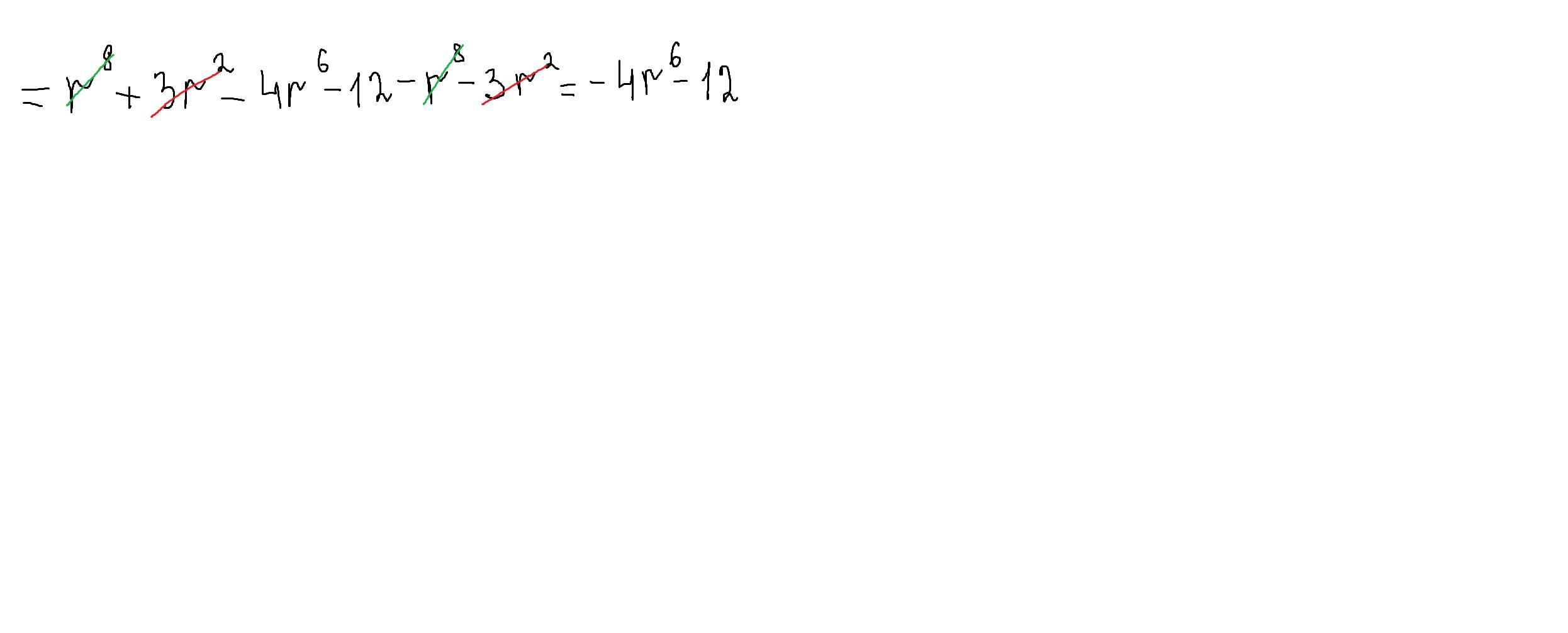
1

Ответ:

Объяснение:

пропуски на вашем задании видны не полностью,поэтому я просто решила

Приложения:
Вас заинтересует