• Предмет: Математика
  • Автор: polina9315
  • Вопрос задан 3 года назад

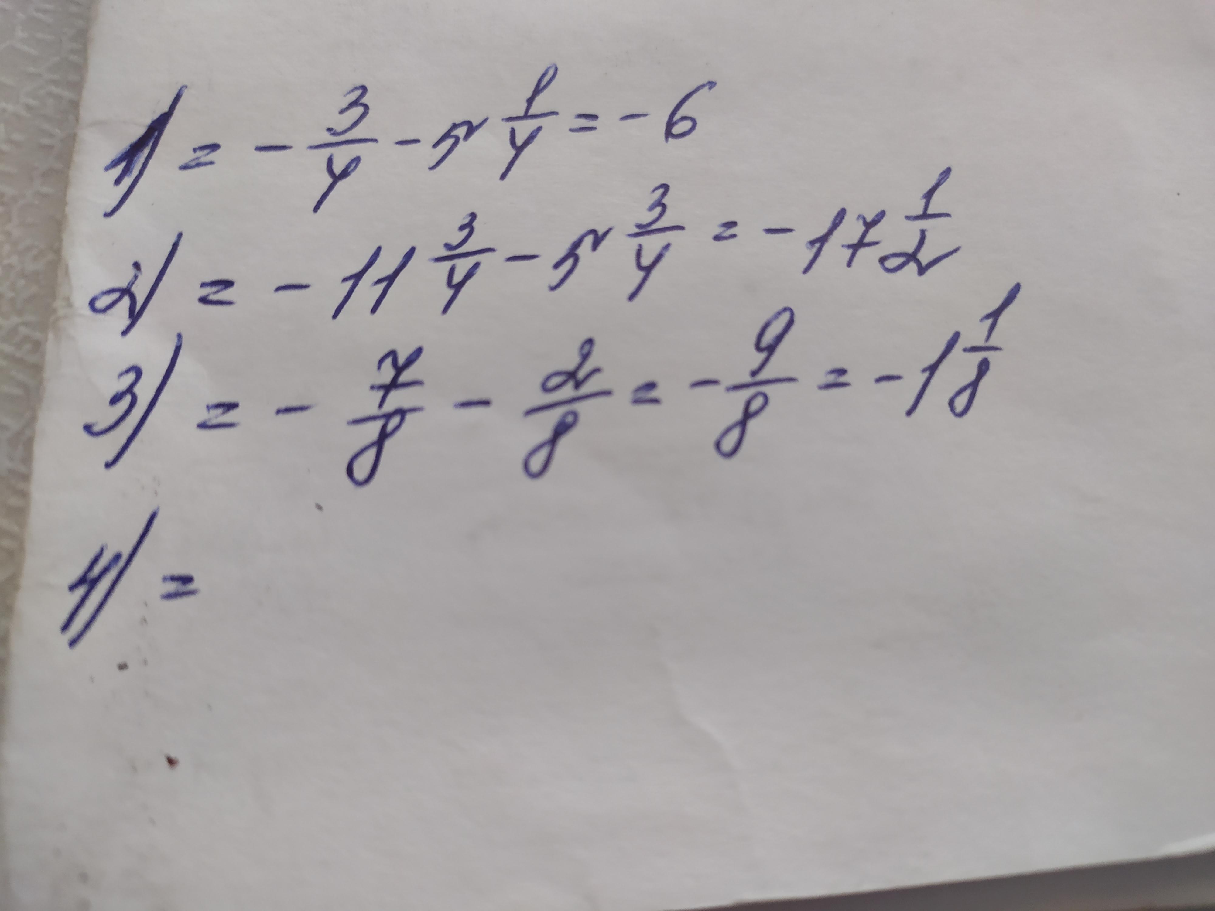
399. Найдите значение выражения:
-3/4+(-5 1/4)
-113/4+(-5 3/4)
-7/8+(-1/4)​​

Приложения:

Ответы

Ответ дал: tatsach
7

Ответ:

Пошаговое объяснение:

Приложения:

tatsach: Пожалуйста
Аноним: правильно ?
Аноним: можешь пж 45и6
izarylgasynkyzy: да пожалуйста
izarylgasynkyzy: дай те 456
tatsach: Я не вижу 456
izarylgasynkyzy: Я могу дать
izarylgasynkyzy: пж
tatsach: Выкладывайте свой вопрос и я там решу
izarylgasynkyzy: хорошо
Вас заинтересует