• Предмет: Математика
  • Автор: fisangabfir
  • Вопрос задан 3 года назад

Пожалуйста помогите решить эту задачу, дам все балы что есть, просто очень срочно нужно. ​

Приложения:

Ответы

Ответ дал: Miroslava227
0

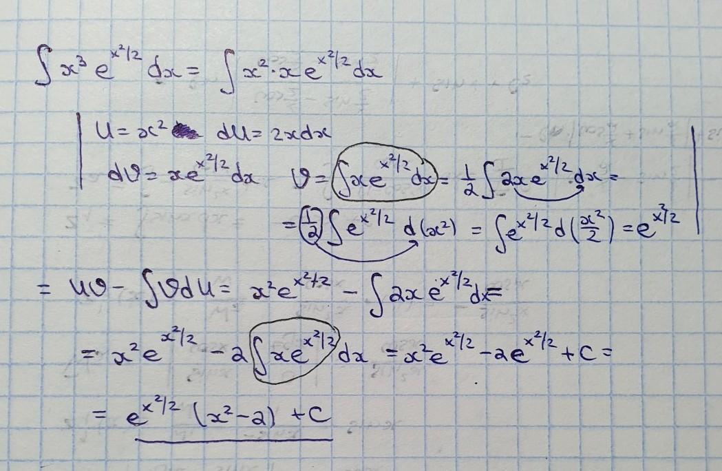
Ответ:

решение на фотографии

Приложения:
Вас заинтересует