• Предмет: Алгебра
  • Автор: seven23
  • Вопрос задан 3 года назад

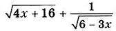
При каких значениях переменной имеет смысл выражение?

Приложения:

Ответы

Ответ дал: kirichekov
0

Ответ:

х€[-4; 2)

Объяснение:

решить систему неравенств:

4x + 16 \geqslant 0 \\ 6 - 3x > 0

4x  \geqslant  - 16 \\  - 3x >  - 6

x \geqslant  - 4 \\ x < 2

Вас заинтересует