Ответы
Ответ дал:
1
Ответ:
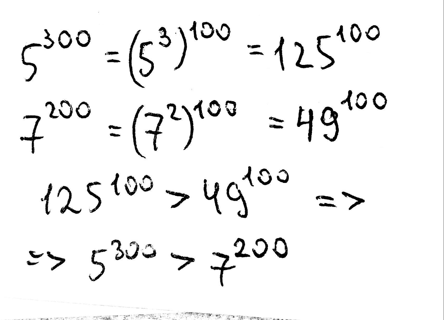
Объяснение: во вложении
Приложения:

Ифигения:
Отметь, пожалуйста, мое решение как лучшее
Вас заинтересует
2 года назад
2 года назад
2 года назад
2 года назад
7 лет назад