• Предмет: Математика
  • Автор: sadead9
  • Вопрос задан 3 года назад

Сократи дробь срочно ответ
пж
пж
пж
пж
пж
пж​

Приложения:

Ответы

Ответ дал: LeBwа
1

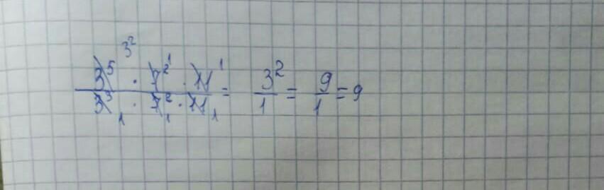
Решение смотреть на фотографии:

7^2 в числителе и 7^2 в знаменателе сократятся, 11 в числителе и 11 в знаменателе тоже сократятся, 3^5 : 3^3 = 3^2 = 9

Приложения:
Вас заинтересует