• Предмет: Алгебра
  • Автор: tolomushevramil
  • Вопрос задан 3 года назад

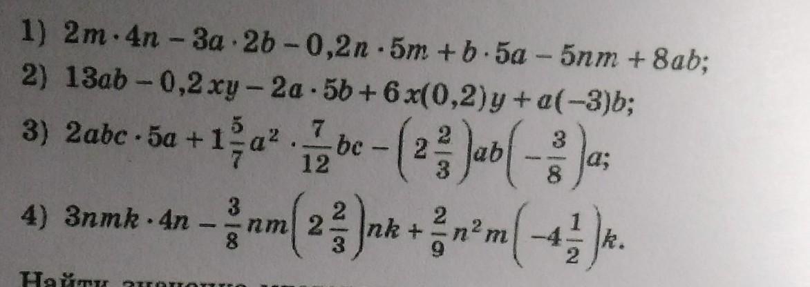
запишите многочлен в стандартной форме​

Приложения:

Ответы

Ответ дал: KoJlDyN
13

1) 8nm - 6ab - nm + 5ab - 5nm + 8ab = 2nm + 7ab;\\2) 13ab - 0,2xy - 10ab + 1,2xy - 3ab = xy;\\3) 10a^2bc +a^2bc  + a^2b = 11a^2bc+a^2b;\\4)12n^2mk - n^2mk - n^2mk = 10n^2mk.


tolomushevramil: спасибо
KoJlDyN: :)
nurumbetovanargiza9: спасибо большое
Вас заинтересует