• Предмет: Алгебра
  • Автор: Аноним
  • Вопрос задан 3 года назад

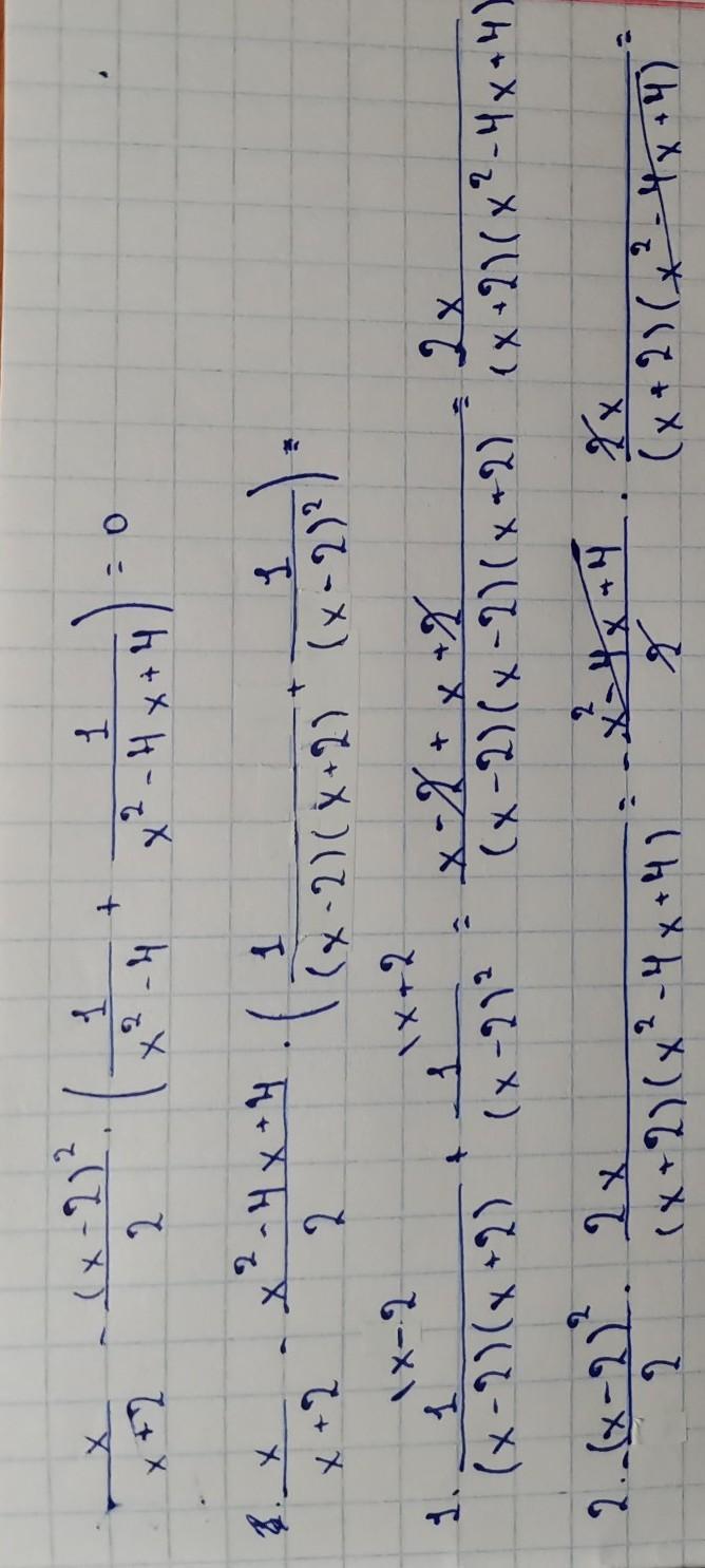
Решите пожалуйста ПО ДЕЙСТВИЯМ, ПОДРОБНО, в ответе должен получиться 0
Даю 25 баллов!!!! ​

Приложения:

Ответы

Ответ дал: kaszhasm1n
1

Объяснение:

поймёшь наверное мой подчерк.

Приложения:

Аноним: спасибо большое =)))
kaszhasm1n: не за что)
kaszhasm1n: главное чтоб понял(а)
Аноним: все понятно)
Вас заинтересует