Ответы
Ответ дал:
1
Ответ:
Объяснение:
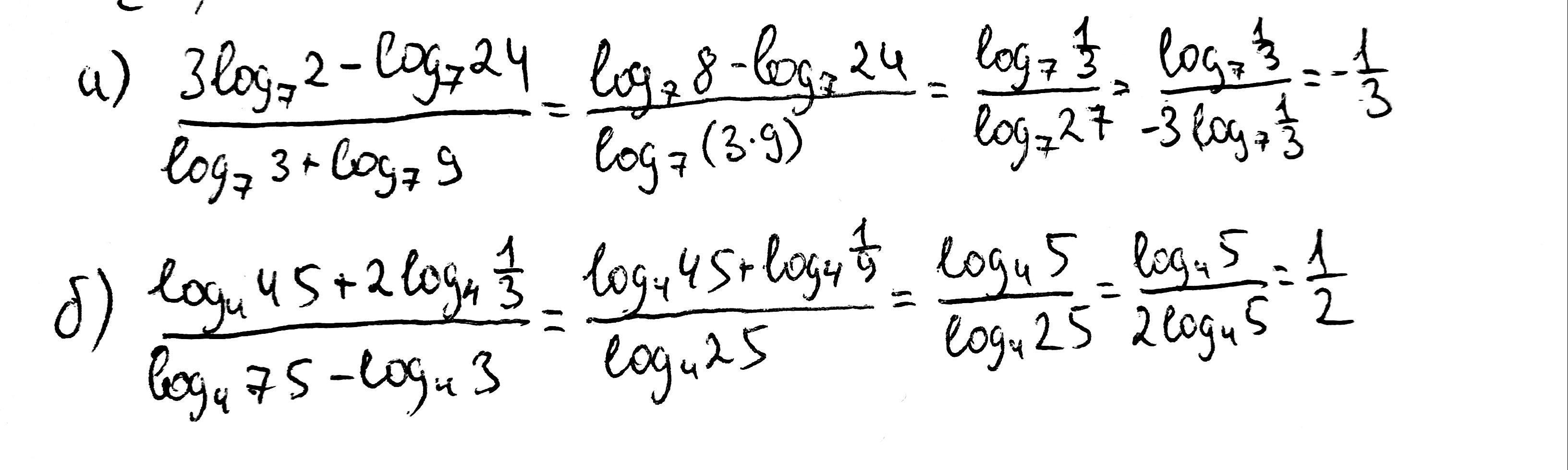
Во вложении
Приложения:

xednay321:
у меня почему то получилось в первом -1/3
Вас заинтересует
2 года назад
2 года назад
7 лет назад
7 лет назад
9 лет назад
9 лет назад