Ответы
Ответ дал:
1
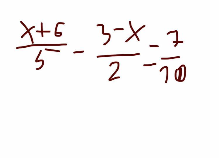
в начале каждую дробь умножается на 10, а дальше как я написала
Приложения:

reLLlatel228:
Почему -15 + 5x, у меня получилось -15 - 5x в третей строчке
Вас заинтересует
2 года назад
7 лет назад
7 лет назад
9 лет назад