• Предмет: Алгебра
  • Автор: Аноним
  • Вопрос задан 3 года назад

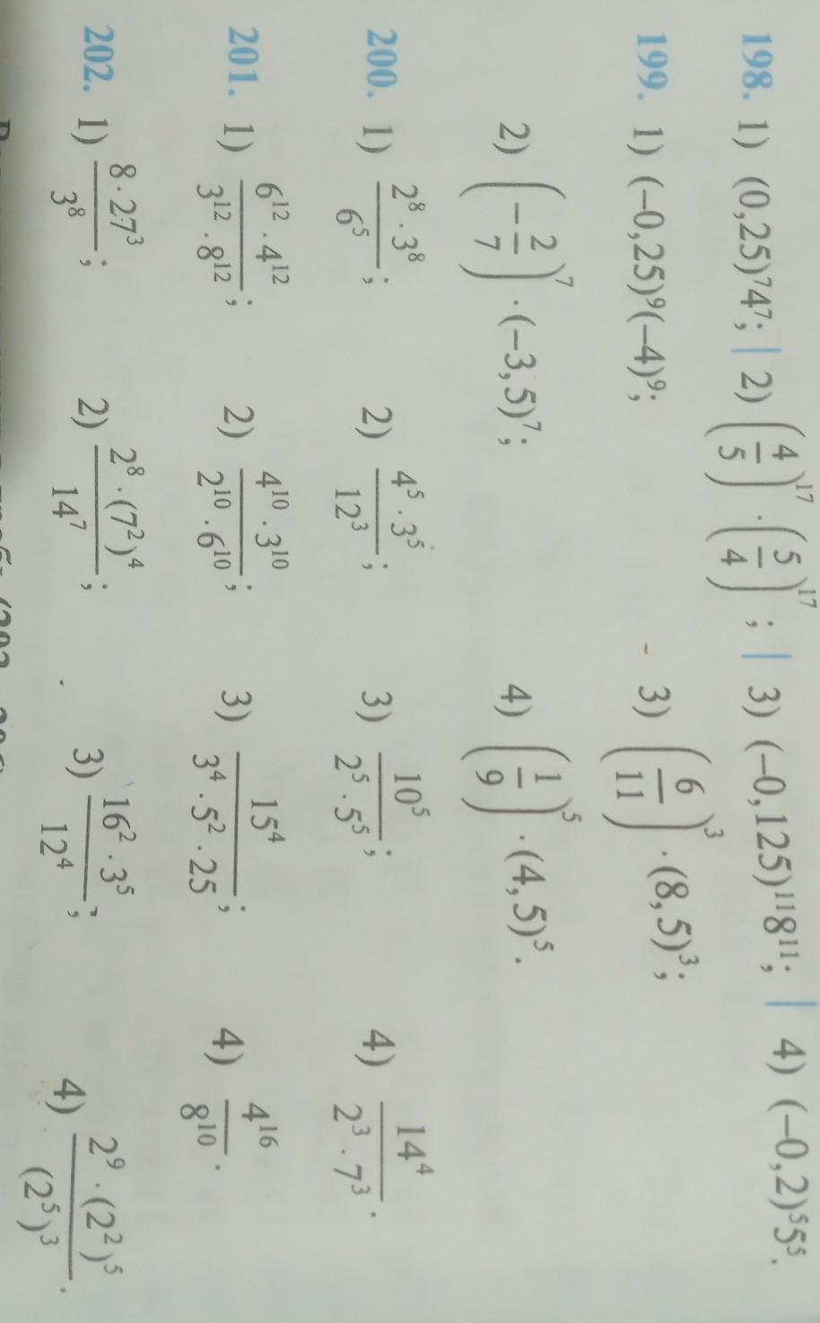
помогите пожалуйста срочно​

Приложения:

Ответы

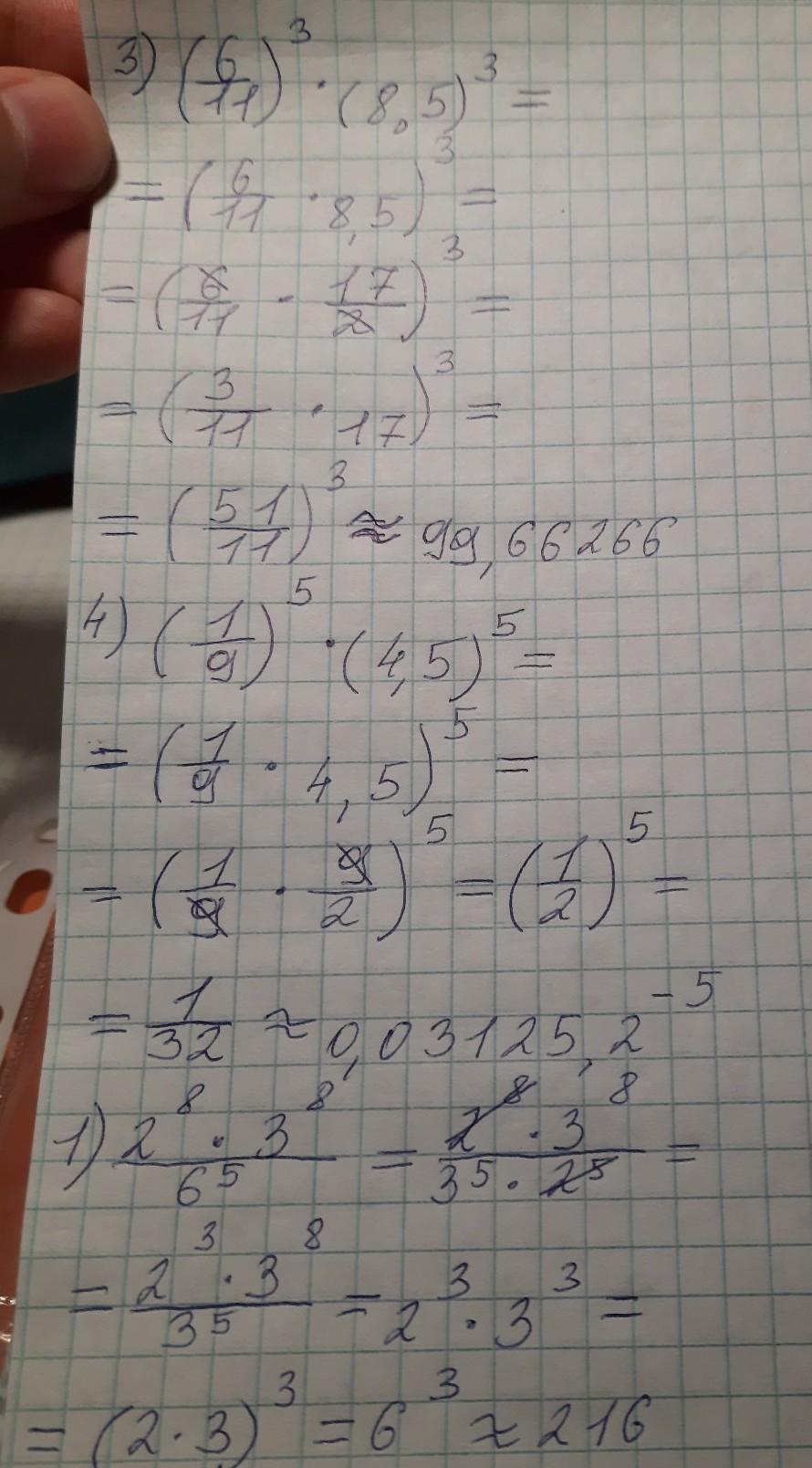
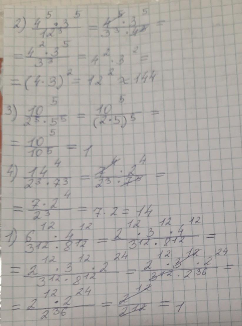
Ответ дал: Natalya066487
1

Ответы есть все вместе с решением на фото

Приложения:

Natalya066487: там ещё два фото с решением
Natalya066487: щас попробую сюда кинуть
Аноним: а у тебя есть Инстаграм
Natalya066487: да,и вк тоже
Natalya066487: могу нормально сфоткать и все отправить
Natalya066487: щас кину свой инстаграм
Аноним: Окей
Natalya066487: natalya0664
Аноним: а тебе 19
Natalya066487: да
Вас заинтересует