• Предмет: Математика
  • Автор: Аноним
  • Вопрос задан 3 года назад

помогите дам 10 баллов ​

Приложения:

Ответы

Ответ дал: poliaaaa06
0

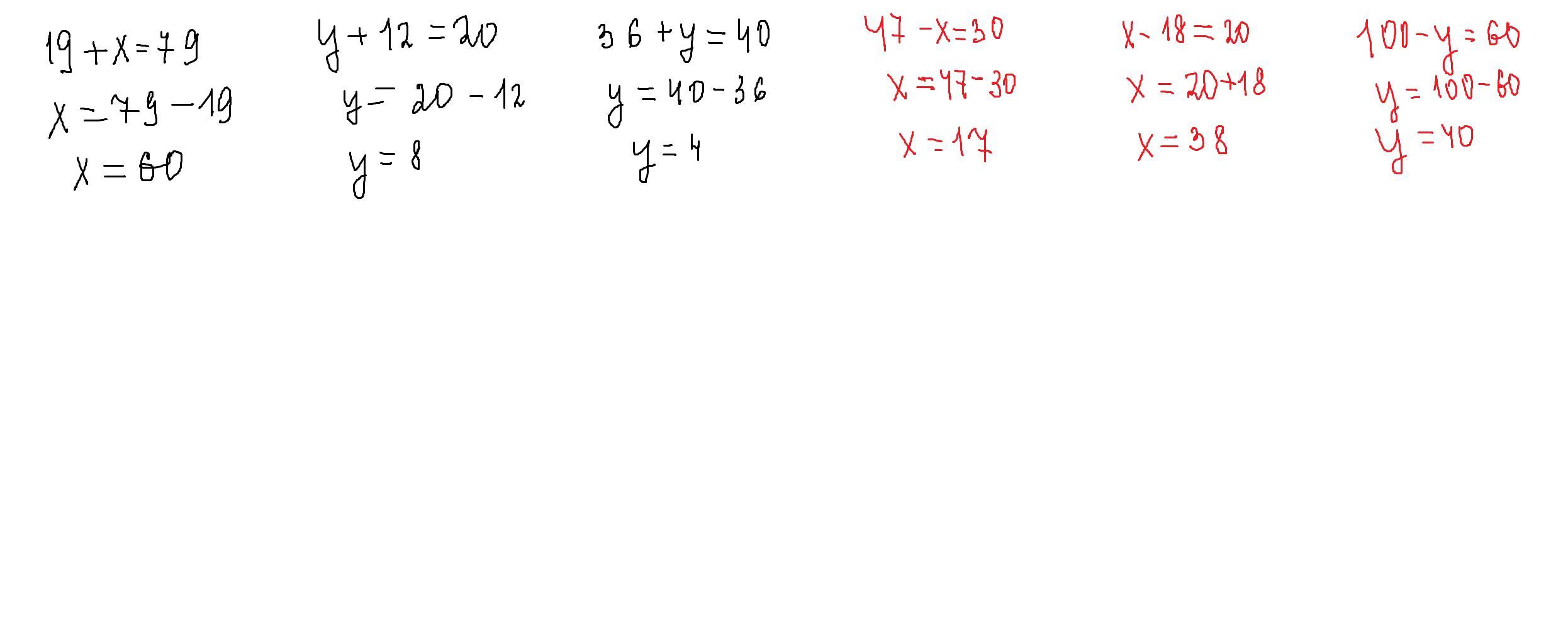
Ответ:

а) Слагаемое: 19, 8, 36

Слагаемое: 60, 12, 16

Сумма: 79, 20, 40

б) Уменьшаемое: 47, 38, 100

Вычитаемие: 17, 18, 40

Разность: 30, 20, 60

Ответ дал: parus77
1

Ответ:

Пошаговое объяснение:

решение внизу

Приложения:
Вас заинтересует