• Предмет: Алгебра
  • Автор: alyona2043
  • Вопрос задан 3 года назад

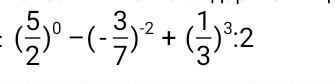
Вычислите:
ПОЖАЛУЙСТА ПОМОГИТЕ
ОЧЕНЬ ОЧЕНЬ ОЧЕНЬ СРОЧНО.

Приложения:

Ответы

Ответ дал: svetaotrub
1

Ответ:

- 239/54

Объяснение:

надеюсь помогла

Вас заинтересует