• Предмет: Алгебра
  • Автор: Roustam1
  • Вопрос задан 11 лет назад

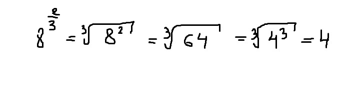
сколь ко получится в примере - 8^2/3?

Ответы

Ответ дал: DaKha
0

Решение во вложении                      :

 

 

Приложения:
Вас заинтересует