• Предмет: Математика
  • Автор: ernazamir0
  • Вопрос задан 3 года назад

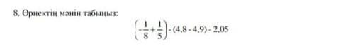
(минус сегізден бір қосу бестен бір)-(4,8-4,9)-2,05​

Приложения:

Ответы

Ответ дал: kordcka
1

Ответ:

Будет: -1,875

Пошаговое объяснение: Сначала попробуем преобразовать и раскрыть скобки, получается будет 0,075+0,1-2,05 и решим эту задачу и получиться -1, 875.

Вас заинтересует