• Предмет: Математика
  • Автор: djuzela01
  • Вопрос задан 3 года назад

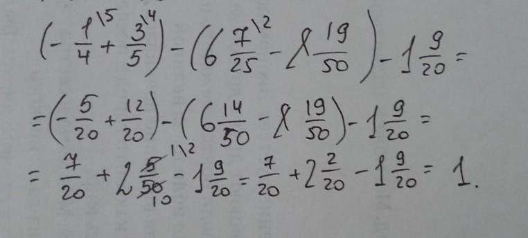
(-1/4+3/5)-(6 7/25 - 8 19/50) - 1 9/20
пппжжжллл​

Ответы

Ответ дал: MJfrenchy
1

Ответ:

1

Пошаговое объяснение:

Решение во вложении)

Удачи!

Приложения:

djuzela01: сп
djuzela01: спс
MJfrenchy: не за что :)
Вас заинтересует