• Предмет: Алгебра
  • Автор: Аноним
  • Вопрос задан 3 года назад

Пожалуйста помагите срочно надо





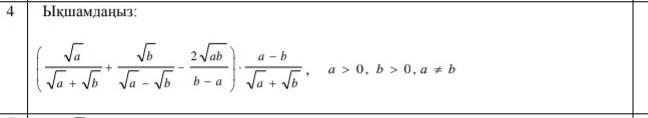
Компактный ​

Приложения:

Аноним: все не нужно

Ответы

Ответ дал: Universalka
1

1)\frac{\sqrt{a}}{\sqrt{a}+\sqrt{b}} +\frac{\sqrt{b}}{\sqrt{a}-\sqrt{b}}-\frac{2\sqrt{ab}}{b-a} =\frac{\sqrt{a}}{\sqrt{a}+\sqrt{b}} +\frac{\sqrt{b}}{\sqrt{a}-\sqrt{b}}-\frac{2\sqrt{ab}}{(\sqrt{b}-\sqrt{a})(\sqrt{b}+\sqrt{a})} =\\\\=\frac{\sqrt{a}}{\sqrt{a}+\sqrt{b}} +\frac{\sqrt{b}}{\sqrt{a}-\sqrt{b}}+\frac{2\sqrt{ab}}{(\sqrt{a}-\sqrt{b})(\sqrt{a}+\sqrt{b})} =\frac{\sqrt{a}*(\sqrt{a}-\sqrt{b})+\sqrt{b}*(\sqrt{a}+\sqrt{b}+2\sqrt{ab}}{(\sqrt{a}-\sqrt{b})(\sqrt{a}+\sqrt{b})}=

=\frac{a-\sqrt{ab}+\sqrt{ab}+b+2\sqrt{ab}}{\sqrt{a}-\sqrt{b})(\sqrt{a}+\sqrt{b})}=\frac{a+2\sqrt{ab}+b}{(\sqrt{a}-\sqrt{b})(\sqrt{a}+\sqrt{b})}=\frac{(\sqrt{a}+\sqrt{b})^{2} }{(\sqrt{a}-\sqrt{b})(\sqrt{a}+\sqrt{b})}=\frac{\sqrt{a}+\sqrt{b}}{\sqrt{a}-\sqrt{b}}

2)\frac{\sqrt{a}+\sqrt{b}}{\sqrt{a}-\sqrt{b}}*\frac{a-b}{\sqrt{a}+\sqrt{b}}=\frac{(\sqrt{a} -\sqrt{b})(\sqrt{a}+\sqrt{b})}{\sqrt{a}-\sqrt{b}}=\sqrt{a}+\sqrt{b}\\\\Otvet:\boxed{\sqrt{a}+\sqrt{b}}


Аноним: что это значит othuer
Вас заинтересует