• Предмет: Алгебра
  • Автор: YliaKra
  • Вопрос задан 11 лет назад

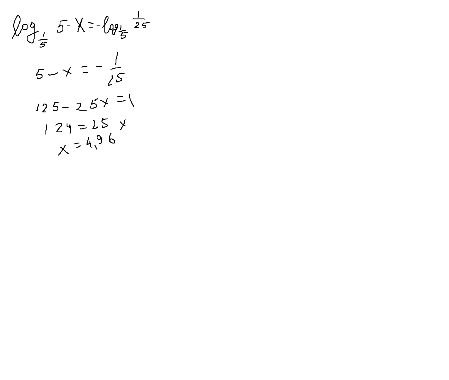
логарифм 5-x по основанию одна пятая =-2

Ответы

Ответ дал: Askoa
0

............................................................

Приложения:
Вас заинтересует