• Предмет: Математика
  • Автор: max33151111
  • Вопрос задан 3 года назад

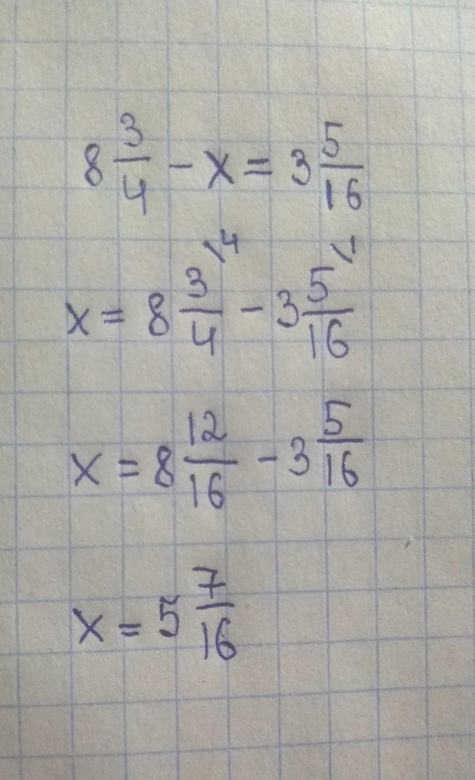
Ровнения:
8 3_4 - x = 3 5_16

Если что нижнее подчёркивание это дробь.

Ответы

Ответ дал: loltimoha
0

Я думаю что так. Вроде как уже это учил )

Приложения:
Вас заинтересует