• Предмет: Алгебра
  • Автор: w46ygjfgjghkgh
  • Вопрос задан 3 года назад

ДАМ 35 БАЛЛОВ!!!
296. Решите Показательные неравенства

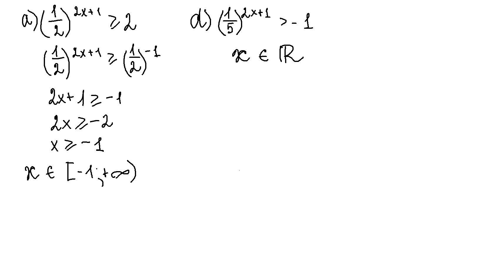
a) (\frac{1}{2})^{2x+1}\geq 2;

d)(\frac{1}{5} )^{2x+1}\  \textgreater \ -1;

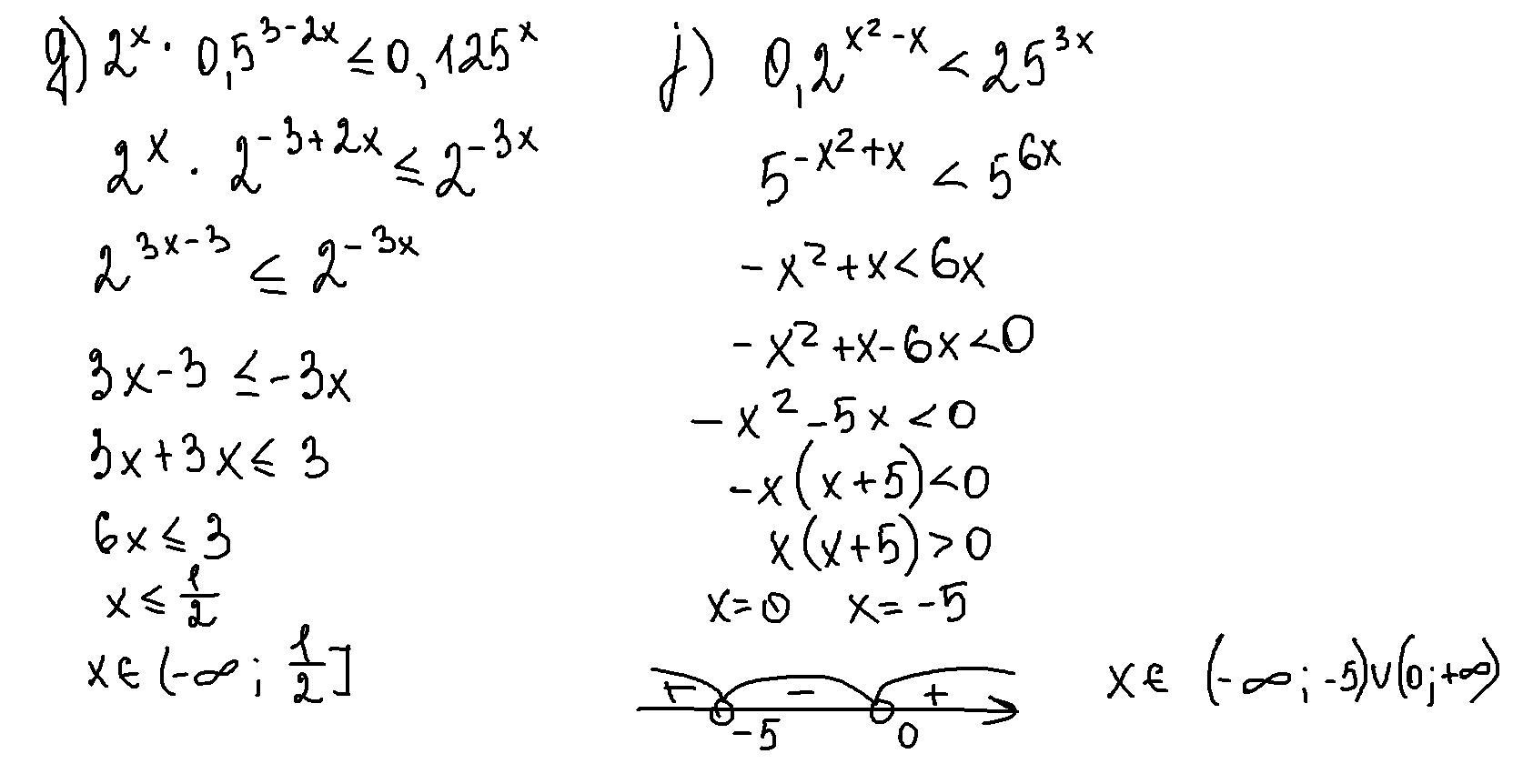
g)2^{x}*0,5^{3-2x}\leq 0,125^{x};

j)0,2^{x^{2}-x}\  \textless \ 25^{3x}

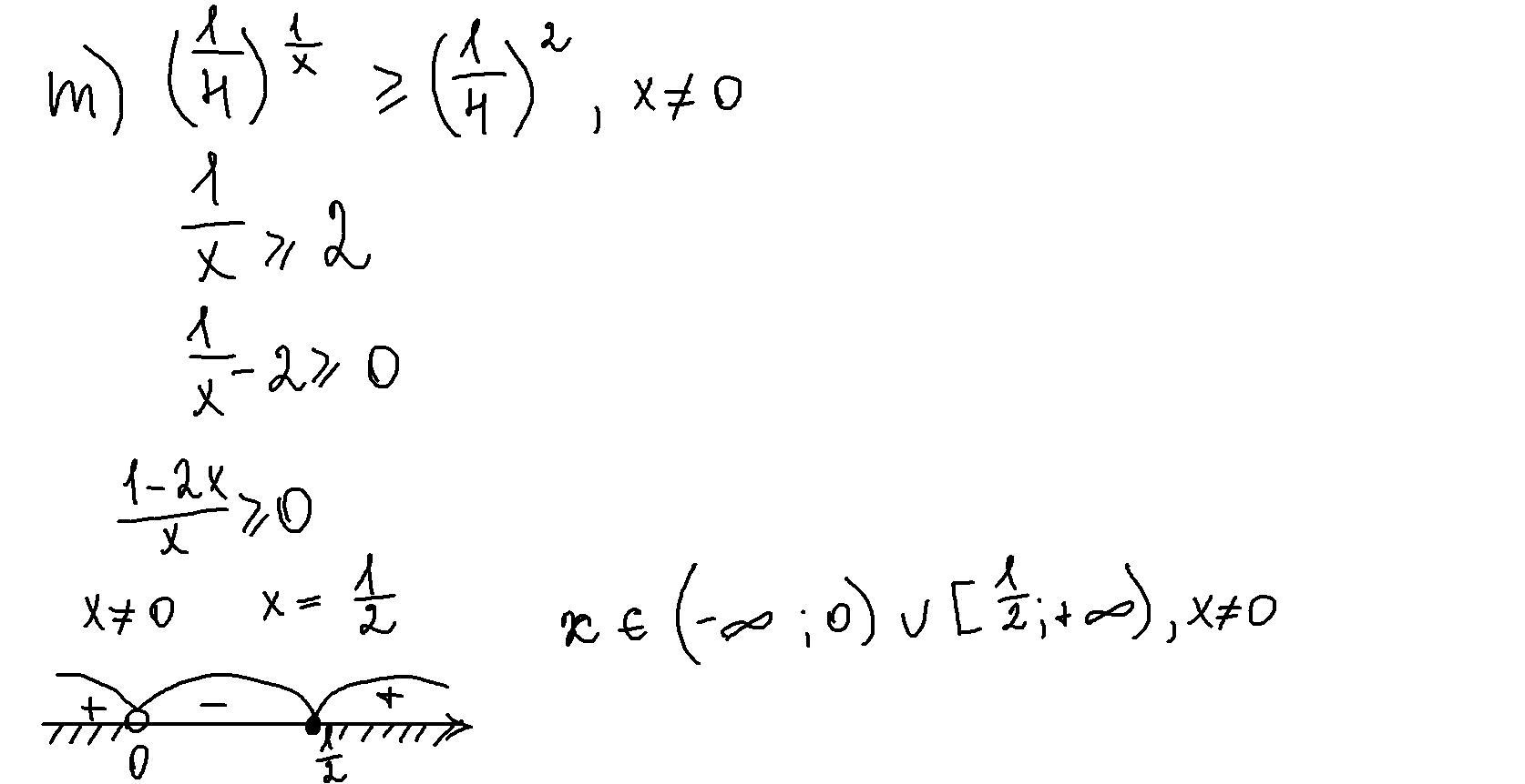
m)(\frac{1}{4})^{\frac{1}{x}}\geq (\frac{1}{4})^{2}

Ответы

Ответ дал: SoniaKhomych
0

Ответ:

Надеюсь всё хорошо видно)

Объяснение:

Приложения:
Вас заинтересует